近日,6776永利集团张禧征教授在开放量子多体系统与非平衡强关联物理研究方面取得新进展。相关成果以“Single-site dissipation stabilizes a superconducting nonequilibrium steady state in a strongly correlated system”为题被Physical Review B接收发表。该工作围绕“能否仅通过极少量局域耗散,在强关联体系中稳定宏观超导有序”这一问题,提出了一种基于单点量子跳跃调控的耗散工程方案,为开放量子系统中按需制备强关联有序态提供了新的理论思路。
耗散通常被视为破坏量子相干性的因素,但近年来,如何将环境耦合转化为量子态制备和稳定的资源,已成为开放量子系统研究的重要方向。现有不少方案需要在整个晶格上引入空间广泛分布的耗散通道,实验实现难度较高。该研究从粒子-空穴对称Hubbard模型出发,构造了一个局域旋转的η配对降低算符作为量子跳跃算符,并证明即使该耗散仅作用在单个格点上,也能够驱动系统从真空态演化到具有η配对非对角长程序的非平衡稳态。该工作的核心物理图像可以概括为“局域选择,全局锁相”。局域旋转耗散首先在单个格点上选择特定的η赝自旋暗态,使空穴与双占据态之间形成相干叠加;随后,在Hubbard相互作用和跃迁动力学的共同作用下,这一局域相干性被传播到整个晶格,最终使体系中的η赝自旋发生相位锁定,形成具有宏观配对关联的非平衡吸引子。与依赖体耗散或全局驱动的方案不同,该机制表明一个严格局域的耗散“种子”即可诱导强关联体系中长程超导相干的建立。

图1.机制示意图

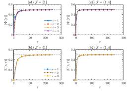
图2.动力学演化结果
该研究表明,最小局域耗散不仅可以作为控制单个自由度的工具,也可以通过强关联多体动力学放大为全局有序态制备机制。这一结果拓展了耗散工程在超导关联态、强关联量子模拟和非平衡量子态调控中的应用前景,也为冷原子、超导量子器件等平台中利用局域可控耗散稳定复杂量子相提供了理论依据。
6776永利集团为本工作的唯一完成单位,张禧征教授为论文作者。该研究得到国家自然科学基金面上项目(11975166、12275193)资助。
论文信息:X. Z. Zhang, “Single-site dissipation stabilizes a superconducting nonequilibrium steady state in a strongly correlated system,”Physical Review B, 113 (13), 134314(2026). DOI: https://doi.org/10.1103/3y13-z83z